· Chemia herbaty · 6 minut
O cykadach herbacianych. Szczegóły interakcji Empoasca (Matsumurasca) onukii Matsuda i innych z liśćmi herbaty
W ostatnim tygodniu dużo osób piję tajwański oolong Dong Fang Mei Ren w produkcji którego istotną rolę odgrywają cykady więc przydałoby się o nich powiedzieć.

Wiele substancji mających wpływ na aromat i smak herbaty powstaje z mniej lotnych i bardziej stabilnych chemicznie prekursorów zawartych w pędach roślin herbacianych w określonych warunkach - na przykład podczas uszkodzeń mechanicznych. Procesy te są częścią ewolucyjnie ukształtowanych mechanizmów zapewniających ochronę roślin przed szkodnikami, przed patogennymi bakteriami i grzybami itp.. Niektóre operacje technologiczne przetwarzania liści herbaty mają na celu aktywację tych mechanizmów i uwalnianie substancji smakowo-zapachowych. Niestety, w Internecie tego najważniejszego tematu często unika się zastępując “stopniem fermentacji “.
Interakcje między owadami i roślinami (w tym herbacianymi), w których pośredniczą substancje lotne, były badane przez naukowców od dawna. Reakcje roślin są spowodowane zarówno przez samo uszkodzenie mechaniczne, jak i nietypowe dla zdrowych roślin substancje zwane elicytorami. Elicytory mogą pełnić rolę sygnalizacyjną, oddziałując z receptorami w błonach komórek roślinnych, rozpoznając je i wywołując kaskadę reakcji obronnych. Ponadto związki te mogą być zarówno egzogenne wytwarzane przez owady (np. celiferyny), jak i endogenne występujące w roślinie po jej uszkodzeniu (np. inceptyny). W pewnym stopniu można to porównać do odpowiedzi ludzkiego układu odpornościowego na kontakt z antygenem i procesami autoimmunologicznymi. Istnieją elicytory stosowane w rolnictwie w celu zwiększenia odporności roślin na szkodliwe czynniki, na przykład chitozan, który jest częścią chitynowej powłoki owadów i ścian komórkowych grzybów, nie szkodzi roślinom, ale stymuluje reakcje obronne. Można to porównać do szczepień (w pewnym stopniu).
Możliwe są jednak inne mechanizmy działania elicytorów. Np., β-glukozydaza, którą wydzielają niektóre gąsienice, oddziałuje bezpośrednio z glikozydami zawartym w tkankach roślinnych, tworząc substancje lotne, które z kolei przyciągają owadziarki składające jaja do ciał gąsienic.
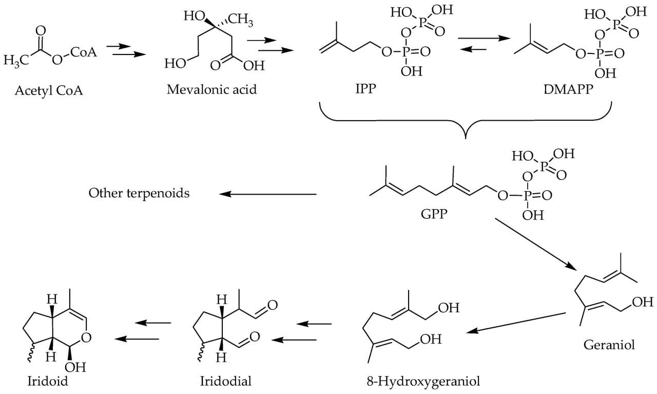
Geraniol - nienasycony alkohol acykliczny należący do monoterpenów (patrz rys. 1). Geraniol ma kwiatowy zapach i jest szeroko rozpowszechniony w świecie roślin - występuje w olejkach eterycznych z róży, geranium, cytryny, trawy cytrynowej, a także w liczi, winogronach i innych. Stwierdzono, że ma właściwości antybakteryjne i jest wykorzystywany przez rośliny do ochrony przed infekcjami bakteryjnymi; geraniol odstrasza również szkodniki i przyciąga pożyteczne owady, które są ich naturalnymi wrogami - owadziarki(Terebrantes) i muchy z rodziny ścierwicowatych (Sarcophagidae) W roślinach geraniol powstaje z difosforanu geranilu (uniwersalny prekursor wszystkich monoterpenów, którego struktura izoprenowa jest tworzona de novo z acetylo-CoA, patrz rys. 2 ) za pomocą enzymu syntazy geraniolowej. Syntazy geraniolowe są izolowane z bazylii, drzewa kamforowego, barwinka i innych roślin. U owadów również występuje geraniol: u pszczół miodnych pełni rolę feromonu, u chrząszczy z rodziny stonkowatych (Chrysomelidae) powstają z niego substancje ochronne irydoidy itp.

Geraniol jest ważnym smakowo-zapachowym składnikiem herbaty - w szczególności herbat oolong i czerwonych.Znana niektórym miłośnikom herbaty zielona herbaciana cykada Empoasca (Matsumurasca) onukii Matsuda (patrz rys. 3) atakując młode pędy herbaty, znacznie zwiększa zawartość geraniolu w nich. Mniej więcej w ten sam sposób oddziałują z krzewem herbacianym Empoasca flavescens w Dardżylingu i Jacobiasca formosana na Tajwanie.
Logiczne byłoby wobec tego założenie, że dzieje się to poprzez aktywację syntazy geraniolowej liści herbaty, podobnie jak w przypadku linalolu, innego ważnego alkoholu monoterpenowego: trwałe uszkodzenie mechaniczne zwiększa poziom ekspresji genów dwóch różnych syntaz linalolowych, a wzrost ich aktywności prowadzi do nagłego wzrostu stężenia linalolu. Jednak naukowcy z laboratorium botaniki stosowanej w prowincji Guangdong i laboratorium analizy molekularnej i modyfikacji genetycznej roślin uprawnych w południowych Chinach dowiedzieli się, że tak nie jest. Wyniki ich pracy zostały opublikowane pod koniec 2019 r. w czasopiśmie «Biomolecules»
Zhou Yin i współpracownicy odkryli, że chociaż stężenie geraniolu w liściach herbaty, ugryzionej przez cykadę, jest prawie o rząd wielkości większe niż w normalnych liściach, aktywność syntazy geraniolowej w nich nie rośnie, ale nawet nieznacznie spada (patrz ryc. 4). Skąd więc geraniol?
Naukowcy przygotowali ekstrakt z cykad i dodali difosforan geranilu jako substrat - i ta mieszanina reakcyjna zaczęła wytwarzać geraniol. Oznacza to, że enzym zdolny do rozszczepiania difosforanu geranilu w celu wytworzenia geraniolu był zawarty w samych cykadach. Ale wyizolowanie go i określenie jego struktury nie było takie proste.

Cały transkryptom, czyli zbiór wszystkich mRNA(takich samych mRNA w oparciu o które powstała szczepionka Pfizer na COVID-19), został całkowicie wyekstrahowany z cykad, a po odwrotnej transkrypcji został całkowicie odszyfrowany. Następnie wykryto w nim sekwencje nukleotydów pokrywające się z sekwencjami nukleotydów w genach znanych już syntaz terpenowych. I wreszcie zbudowano tak zwane otwarte ramki odczytu, czyli część sekwencji nukleotydów między kodonem START a STOP wraz z odcinkami niekodującymi, niezawierająca kodonu terminacyjnego. Jeszcze niedawno takie rzeczy były możliwe tylko teoretycznie, a teraz jest to zwykła metoda badawcza. Fantastycznie!
Te reprodukowane w warunkach laboratoryjnych geny cykadek były za pomocą wektorów wprowadzone do E. coli i linii komórkowej Sf9 (jest to linia komórkowa wywodząca się z tkanki jąder motyla Spodoptera frugiperda, używana jako biologiczna maszyna do produkcji białek). Następnie zbadano już aktywność syntazy geraniolowej powstałego białka. Ponadto w tej pracy przeanalizowano syntazy terpenowe innych owadów i skonstruowaliśmy ich drzewo filogenetyczne i okazało się, że syntaza geraniolowa cykadek herbaty różni się znacznie od podobnych enzymów innych owadów, ale nie ma już związku z herbatą.
Oprócz syntazy geraniolowej znaleziono w cykadach bakterie Acinetobacter johnsonii . Bakterie z rodzaju Acinetobacter są szeroko rozpowszechnionymi endosymbiontami owadów. Bakterie endosymbionty odgrywają ważną rolę w adaptacji owadów do środowiska: pomagają owadom wchłaniać żywność, rozkładać środki ochrony roślin, wpływać na ich rozmnażanie. Niektóre Acinetobacter więc przyczyniają się do odporności szkodników na środki owadobójcze. Ale niemniej jednak rola Acinetobacter johnsonii w organizmie zielonej cykady herbacianej jest nadal niejasna.
Również okazało się, że geraniol skutecznie hamuje wzrost Acinetobacter johnsonii. Ale właśnie dlaczego cykady wydzielają enzym, w kontakcie którego z difosforanem geranylu zawartym w liściach herbaty powstaje geraniol, który hamuje wzrost żyjących w nich i, teoretycznie, pożytecznych bakterii, których potrzebują - nie jest jasne, potrzebne są dalsze badania. Ale roślina herbaciana najwyraźniej była w stanie dobrze się do tego przystosować – w końcu jej własna syntaza geraniolowa nie jest aktywowana podczas ataku cykad.

Wnioski: podczas ataku zielonych cykad, wraz z aktywacją enzymów rośliny herbacianej odpowiedzialnych za uwalnianie substancji smakowych (jak w przypadku linaloolu), dochodzi również do działania enzymów samych cykad, wpływających również na skład chemiczny, aromat i smak herbaty.. Po prostu nie zapominaj, że wszystko to dotyczy tylko niuansów smaku i aromatu, wyrażeń ich poszczególnych odcieni. Chociaż powyższe jest niezwykle fascynujące, Dong Fang Mei Ren produkują ludzie, i w swoich podstawowych cechach profil smakoaromatyczny Peng Feng jest wynikiem jak technologii tak i walki pomiędzy roślinami i owadami, której bohaterami są geny, enzymy i ich substraty.
Źródło: Herbaciarnia „Sowa i panda”



